首页 > 产品中心 > 分析标准品 > 气相色谱标准品(色标)
产品中心
相关产品
气相色谱标准品(色标)
|
产品编号 |
英文名称 |
CAS号 |
包装 |
|
Y3471 |
Di-n-octyl phthalate |
117-84-0 |
可根据客户要求订制 |
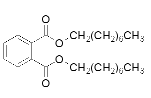
英文名称:Di-n-octyl phthalate
CAS号 117-84-0
standard for GC,≥99.0%(GC)
分子式 C24H38O4 分子量390.56
基本信息:
密度 0.98
熔点 -55°C
沸点 386.9°C
描述
产品介绍 有特殊气味。着火点241℃,粘度81.4mPa?s,蒸气压(200℃)176Pa。25℃时该品在水中溶解度< 0.01%,水在该品中的溶解度0.2%。溶于大多数有机溶剂和烃类,微溶于甘油、乙二醇。与大多数工业用树脂有良好的相容性。与醋酸纤维素;聚醋酸乙烯酯部分相容。
别名 邻苯二甲酸二正辛酯 ;Phthalic acid di-n-octyl ester DNOP
应用气相色谱固定液,选择性保留和分离芳香族化合物、不饱和化合物以及各种含氧化合物(醇、醛、酮、酯等)。溶剂。增塑剂。
- 上一条:4,4'-二氨基二苯甲烷
- 下一条:间二氯苯
