产品中心
相关产品
中药标准品
|
产品编号 |
英文名称 |
CAS号 |
包装 |
|
Y3668 |
Astragaloside II |
84676-89-1 |
可根据客户要求订制 |
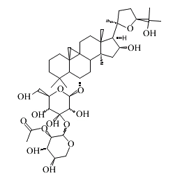
英文名称:Astragaloside II
CAS号:84676-89-1
分析标准品,≥98%
分子式 C43H70O15 分子量827.02

基本信息:
密度 1.38
描述
别名 黄芪皂苷 II ;(3b,6a,16b,20R,24S)-3-((2-O-Acetyl-beta-D-xylopyranosyl)oxy)-20,24-epoxy-16,25-dihydroxy-9,19-cyclolanostan-6-yl beta-D-glucopyranoside
