产品中心
相关产品
中药标准品
|
产品编号 |
英文名称 |
CAS号 |
包装 |
|
Y3648 |
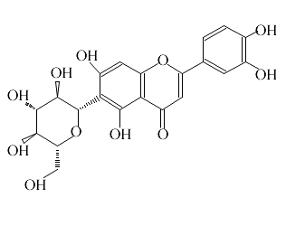
Isoorientin |
4261-42-1 |
可根据客户要求订制 |
英文名称:Isoorientin
CAS号:4261-42-1
分析标准品,≥98%
分子式 C21H20O11 分子量448.38

基本信息:
密度 1.759
熔点 245-246°C
描述
别名 异荭草苷;Homoorientin;Luteolin;6-C-β-D-glucoside Luteolin 6-C-glucoside
