产品中心
中药标准品
|
产品编号 |
英文名称 |
CAS号 |
包装 |
|
Y3589 |
Evodine |
1180-71-8 |
可根据客户要求订制 |
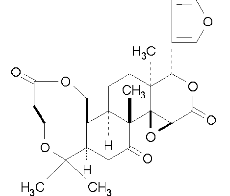
英文名称:Evodine
CAS号:1180-71-8
分析标准品,>98%(HPLC)
分子式 C26H30O8 分子量470.51

基本信息:
密度 1.39
熔点 271-272°C
存贮条件 储存温度2-8°C
描述
产品介绍 柠檬苦素是一种三萜苷元(triterpenoid aglycone),来自于柑桔类水果.
别名 吴茱萸内酯 ;柠檬苦素;Limonin Limonoic acid 3,19:16,17 dilactone
生化机理
Limonin is a triterpenoid aglycone that is a bitter principle of citrus fruits. Limonin is chemically induced carcinogenesis inhibitor and HIV-1 replication inhibitor. Limonin has anti-proliferative, proapoptotic activity on several cancer cell lines and inhibits azoxymethane-induced colon cancer in rats. Limonin also inhibits HIV-1 replication in culturedf monocytes, macrophages, and mononuclear cells, perhaps by inhibition of HIV-1 protease activity.
应用 对几个肿瘤细胞系具有抗增殖、抗凋亡活性,并抑制氧化偶氮甲烷(azoxymethane)诱发的大鼠结肠癌。依靠抑制HIV - 1蛋白酶活性,抑制HIV - 1病毒在单核细胞,巨噬细胞和单核细胞的复制,
