产品中心
中药标准品
|
产品编号 |
英文名称 |
CAS号 |
包装 |
|
Y3587 |
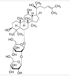
Ginsenoside Rf |
52286-58-5 |
可根据客户要求订制 |
英文名称:Ginsenoside Rf
CAS号:52286-58-5
分析标准品,≥98%
分子式 C42H72O14 分子量801.01

基本信息:
密度 1.33
存贮条件 储存温度2-8℃
描述
产品介绍 Ginsenoside Rf, a glycoside of protopanaxatriol from Panax ginseng, is shown to be a biologically active saponin found to regulate lipoprotein metabolism. Mechanistic studies report that this regulation is done via altering of peroxisome proliferator-activated receptor α (PPARα)-mediated pathways. PPARα has demonstrated the ability to regulate C-III mRNA and basal levels of hepatic apoA-I (apolipoprotein A-I) which affect lipoprotein metabolism. Additional experiments have also observed this Ginsenoside Rf's ability to inhibit Ca2+ channels in mammalian sensory neurons in vitro.
别名 人参皂甙Rf;(3β,6α,12β)-3,12,20-Trihydroxydammar-24-en-6-yl 2-O-β-D-glucopyranosyl-β-D-glucopyranoside
应用 A glycoside found to mediate lipoprotein metabolism
- 上一条:没食子酸儿茶素没食子酸酯
- 下一条:圣草次苷
