产品中心
相关产品
中药标准品
|
产品编号 |
英文名称 |
CAS号 |
包装 |
|
Y4003 |
[10]-Gingerol |
23513-15-7 |
可根据客户要求订制 |
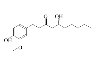
英文名称:[10]-Gingerol
CAS号:23513-15-7
分析标准品,≥96%
分子式 C21H34O4 分子量350.49

基本信息:
存贮条件 储存温度2-8°C
描述
别名 10-姜酚;(S)- 5-Hydroxy-1-(4-hydroxy-3-methoxyphenyl)-3-tetradecanone 10-Gingerol
应用 [10]-姜酚是一种生物活性化合物,具有抗发炎和抗氧化活性
