产品中心
相关产品
中药标准品
|
产品编号 |
英文名称 |
CAS号 |
包装 |
|
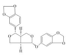
Y3912 |
Sesamolin |
526-07-8 |
可根据客户要求订制 |
英文名称:Sesamolin
CAS号:526-07-8
分析标准品,≥98%
分子式 C20H18O7 分子量370.353

基本信息:
密度1.418
绞股蓝皂苷
Stevenleaf
分析标准品,UV≥98%
MSDS 质检证书(CoA) 相似产品
分子式 C41H68O13 分子量768.99
描述
别名 绞股蓝皂苷 ;绞股蓝皂甙;Gypenoside
应用 药理作用:绞股蓝总皂甙具有人参皂甙的适应原作用,其药理作用大致可分为如下方面:
1、消炎,抗肠、胃溃疡和肿疡。
2、防癌抗癌。
4、镇静和宁神。
5、调节类脂代谢。
绞股蓝皂苷
Stevenleaf
分析标准品,UV≥98%
MSDS 质检证书(CoA) 相似产品
分子式 C41H68O13 分子量768.99
描述
别名 绞股蓝皂苷 ;绞股蓝皂甙;Gypenoside
应用 药理作用:绞股蓝总皂甙具有人参皂甙的适应原作用,其药理作用大致可分为如下方面:
1、消炎,抗肠、胃溃疡和肿疡。
2、防癌抗癌。
4、镇静和宁神。
5、调节类脂代谢。
