小红楼论坛网页版进入,栖凤楼发布信息交流,唐人阁论坛(品茶),小姐威客2025

今天是2025年10月28日 星期二,欢迎光临本站 上海研生实业有限公司 网址: www.r3to.cn

中药标准品

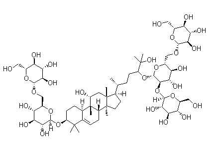
罗汉果苷V

文字:[大][中][小] 2017-4-28    浏览次数:1706    


产品编号
英文名称
CAS号
包装
 Y3889
 Mogroside V
88901-36-4
可根据客户要求订制
产品编号:Y3889

英文名称:Mogroside V
CAS号:88901-36-4
分析标准品,≥98%
分子式 C60H102O29 分子量1287.43


基本信息:




密度1.517
描述
别名 罗汉果苷V ;罗汉果糖苷 V,罗汉果皂甙 V ;Momordica Extract


返回上一步
打印此页
[向上]

网站首页

公司介绍

产品中心

技术服务

技术文献

在线留言

联系我们

在线客服

售前咨询

售后服务

咨询电话:
021-59989018

请扫描二维码
打开手机站