产品中心
相关产品
中药标准品
|
产品编号 |
英文名称 |
CAS号 |
包装 |
|
Y3886 |
Mangiferin |
4773-96-0 |
可根据客户要求订制 |
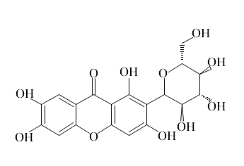
英文名称:Mangiferin
CAS号:4773-96-0
分析标准品,≥98%
分子式 C19H18O11 分子量422.34

基本信息:
密度1.843
存贮条件 储存温度2-8℃
描述
别名 芒果苷 ;芒果甙,杧果甙;Mangiferin from Mangifera indica bark 1,3,6,7-tetrahydroxyxanthone C2-β-D-glucoside
存贮条件 储存温度2-8℃
描述
别名 芒果苷 ;芒果甙,杧果甙;Mangiferin from Mangifera indica bark 1,3,6,7-tetrahydroxyxanthone C2-β-D-glucoside
