小红楼论坛网页版进入,栖凤楼发布信息交流,唐人阁论坛(品茶),小姐威客2025

今天是2025年10月28日 星期二,欢迎光临本站 上海研生实业有限公司 网址: www.r3to.cn

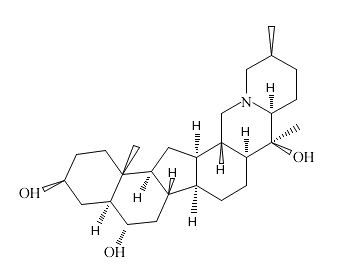
中药标准品

贝母素甲

文字:[大][中][小] 2017-4-28    浏览次数:1840    


产品编号
英文名称
CAS号
包装
 Y3795
 Peimine 
23496-41-5
可根据客户要求订制
产品编号:Y3795

英文名称:Peimine
CAS号:23496-41-5
分析标准品,>98%
分子式 C27H45NO3 分子量431.65


基本信息:



密度1.18
存贮条件 储存温度2-8°C
描述
别名 贝母素甲 ;贝母甲素;Verticine


返回上一步
打印此页
[向上]

网站首页

公司介绍

产品中心

技术服务

技术文献

在线留言

联系我们

在线客服

售前咨询

售后服务

咨询电话:
021-59989018

请扫描二维码
打开手机站