产品中心
相关产品
中药标准品
|
产品编号 |
英文名称 |
CAS号 |
包装 |
|
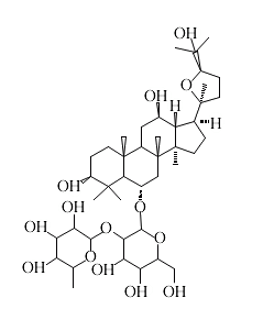
Y3775 |
Pseudoginsenoside- F11 |
69884-00-0 |
可根据客户要求订制 |
英文名称:Pseudoginsenoside- F11
CAS号:69884-00-0
分析标准品,≥98%
分子式 C42H72O14 分子量801.01

基本信息:
敏感性 对空气和光线敏感
密度1.33
存贮条件 储存温度2-8 °C
描述
别名 拟人参皂苷F11;
密度1.33
存贮条件 储存温度2-8 °C
描述
别名 拟人参皂苷F11;
- 上一条:β-五没食子酰葡萄糖
- 下一条:原人参三醇
