产品中心
挥发性有机化合物(VOCs)
|
产品编号 |
英文名称 |
CAS号 |
包装 |
|
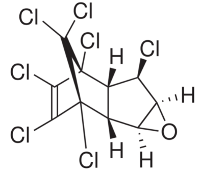
Y0632 |
Heptachlor exo-epoxide Standard |
1024-57-3 |
可根据客户要求订制 |
产品编号:Y0632
英文名称:Heptachlor exo-epoxide Standard
CAS号 1024-57-3
1000μg/ml,溶于吹扫-捕集甲醇溶液中
分子式 C10H5Cl7O 分子量389.32
基本信息:
密度 0.7915
存贮条件 储存温度2-8℃
描述
产品介绍 杀虫剂单一组分标准液
别名 环氧庚氯烷;环氧七氯;exo-1,4,5,6,7,8,8-Heptachloro-2,3-epoxy-4,7-?methano-3a,4,7,7a-tetrahydroindane;HCE
