产品中心
容量分析滴定液
|
产品编号 |
英文名称 |
CAS号 |
包装 |
|
Y0678 |
Lead acetate trihydrate standard |
6080-56-4 |
可根据客户要求订制 |
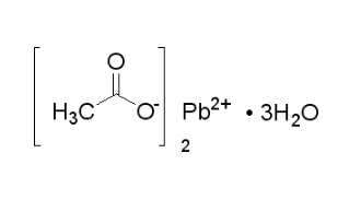
产品编号:Y0678
英文名称:Lead acetate trihydrate standard
CAS号 6080-56-4
分析滴定液,0.05M
分子式 PbC4H6O4?3H2O 分子量379.33
基本信息:
密度4.94
存贮条件密封保存。
描述
产品介绍略带乙酸气味,具风化性,有毒,能吸收空气中二氧化碳后,逐渐变成不全溶的碱式碳酸盐,在100度时开始失去乙酸,200度以上完全分解,能溶于水和甘油,微溶于醇。
别名乙酸铅(II) ,三水 ;三水合乙酸铅,醋酸铅,铅糖;Sugar of lead; Salt of saturn; Neutral lead acetate
应用可制取各种铅盐、抗污涂料、水质防护剂、颜料填充剂、涂料干燥剂、纤维染色剂、重金属氰化过程的溶剂。在医药、农药、染料、涂料等工业生产中有广泛
