产品中心
相关产品
生命科学标准品
|
产品编号 |
英文名称 |
CAS号 |
包装 |
|
Y0685 |
Lasalocid A sodium salt solution |
25999-20-6 |
可根据客户要求订制 |
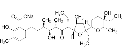
产品编号:Y0685
英文名称:Lasalocid A sodium salt solution
CAS号 25999-20-6
100 ng/μL,基体:乙腈
分子式 C34H53NaO8 分子量612.77
基本信息:
密度1.119
存贮条件2-8℃
描述
别名拉沙洛西钠;
- 上一条:盐酸林可霉素一水合物
- 下一条:盐酸左旋咪唑
