产品中心
生命科学标准品
|
产品编号 |
英文名称 |
CAS号 |
包装 |
|
Y0697 |
Chromotrope FB |
3567-69-9 |
可根据客户要求订制 |
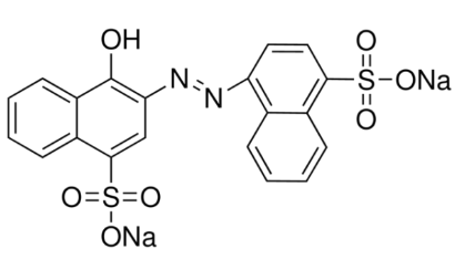
产品编号:Y0697
英文名称:Chromotrope FB
CAS号 3567-69-9
分析标准品,≥98.0%
分子式 C20H12N2Na2O7S2 分子量502.43
基本信息:
别名4-羟基-3-(4-磺酸-1-萘偶氮)-1-萘磺酸二钠盐;Acid Red 14,C.I. 14720,Disodium 4-hydroxy-3-[(4-sulfo-1-naphthalenyl)azo]-1-naphthalenesulfonate,Mordant Blue 79
