产品中心
相关产品
中药标准品
|
产品编号 |
英文名称 |
CAS号 |
包装 |
|
Y3680 |
Dihydrocapsaicin |
19408-84-5 |
可根据客户要求订制 |
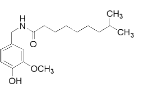
英文名称:Dihydrocapsaicin
CAS号:19408-84-5
分析标准品
分子式 C18H29NO3 分子量307.43

基本信息:
存贮条件 储存温度2-8°C
描述
产品介绍 辣椒素类似物。
别名 二氢辣椒碱 ;N-(4-羟基-3-甲氧基苄基)-8-甲基壬酰胺 ;8-Methyl-N-vanillylnonanamide
应用 VR1辣椒素受体激动剂。
- 上一条:α-熊果苷
- 下一条:脱水穿心莲内酯琥珀酸半酯
