产品中心
相关产品
中药标准品
|
产品编号 |
英文名称 |
CAS号 |
包装 |
|
Y3619 |
Ginsenoside Rb2 |
11021-13-9 |
可根据客户要求订制 |
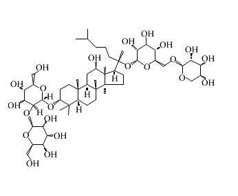
英文名称:Ginsenoside Rb2
CAS号:11021-13-9
分析标准品
分子式 C53H90O22 分子量1079.26

基本信息:
密度 1.42
存贮条件 储存温度2-8℃
描述
别名 人参皂苷Rb2;(3β,12β)-20-[(6-O-α-L-Arabinopyranosyl-β-D-glucopyranosyl)oxy]-12-hydroxydammar-24-en-3-yl 2-O-β-D-glucopyranosyl-β-D-glucopyranoside; NSC 308878
