小红楼论坛网页版进入,栖凤楼发布信息交流,唐人阁论坛(品茶),小姐威客2025

今天是2025年10月28日 星期二,欢迎光临本站 上海研生实业有限公司 网址: www.r3to.cn

中药标准品

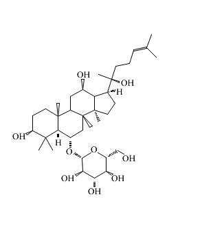
人参皂苷Rh1

文字:[大][中][小] 2017-4-27    浏览次数:1767    


产品编号
英文名称
CAS号
包装
 Y3603
 Ginsenoside Rh1  
63223-86-9
可根据客户要求订制
产品编号:Y3603

英文名称:Ginsenoside Rh1  
CAS号:63223-86-9
分析标准品,≥98%  
分子式 C36H62O9 分子量638.87  


基本信息:


密度  1.23
存贮条件   储存温度2-8℃
描述  
别名   人参皂苷Rh1 ;人参皂甙Rh1;



返回上一步
打印此页
[向上]

网站首页

公司介绍

产品中心

技术服务

技术文献

在线留言

联系我们

在线客服

售前咨询

售后服务

咨询电话:
021-59989018

请扫描二维码
打开手机站