小红楼论坛网页版进入,栖凤楼发布信息交流,唐人阁论坛(品茶),小姐威客2025

今天是2025年10月28日 星期二,欢迎光临本站 上海研生实业有限公司 网址: www.r3to.cn

中药标准品

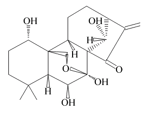
冬凌草甲素

文字:[大][中][小] 2017-4-28    浏览次数:1677    


产品编号
英文名称
CAS号
包装
 Y3769
 Oridonin
28957-04-2
可根据客户要求订制
产品编号:Y3769

英文名称:Oridonin
CAS号:28957-04-2
分析标准品,≥98%
分子式 C20H28O6 分子量364.43


基本信息:



密度1.42
熔点 248-250°C
存贮条件 储存温度2-8°C
描述
别名 冬凌草甲素;


返回上一步
打印此页
[向上]

网站首页

公司介绍

产品中心

技术服务

技术文献

在线留言

联系我们

在线客服

售前咨询

售后服务

咨询电话:
021-59989018

请扫描二维码
打开手机站