产品中心
相关产品
中药标准品
|
产品编号 |
英文名称 |
CAS号 |
包装 |
|
Y3766 |
Notoginsenoside R1 |
80418-24-2 |
可根据客户要求订制 |
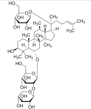
英文名称:Notoginsenoside R1
CAS号:80418-24-2
分析标准品,≥98% (HPLC)
分子式 C47H80O18 分子量933.14

基本信息:
密度1.39
存贮条件 储存温度2-8℃
描述
产品介绍 Notoginsenoside R1 is an active ingredient isolated from Panax notoginseng that induces tissue-type plasminogen activator synthesis in cultured human umbilical vein endothelial cells.
别名 三七皂苷R1;(3β,6α,12β)-20-(β-D-Glucopyranosyloxy)-3,12-dihydroxydammar-24-en-6-yl 2-O-β-D-xylopyranosyl-β-D-glucopyranoside; Sanchinoside R1
生化机理 Notoginsenoside R1 has been shown to exhibit antooxidant, anti-inflammatory, antiapoptotic, and immune-stimulatory properties.
应用 A biochemical for proteomics research.
