产品中心
生命科学标准品
|
产品编号 |
英文名称 |
CAS号 |
包装 |
|
Y0694 |
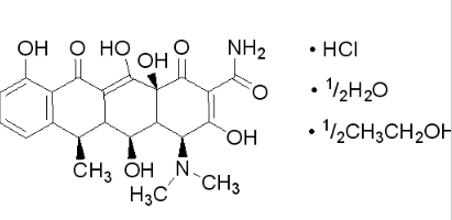
Doxycycline hyclate |
24390-14-5 |
可根据客户要求订制 |
产品编号:Y0694
英文名称:Doxycycline hyclate
CAS号 24390-14-5
分析标准品
分子式 C22H24N2O8?HCl 分子量512.94
基本信息:
存贮条件储存温度2-8℃
描述
别名盐酸强力霉素 ;脱氧土霉素盐酸盐,盐酸多西环素,6-甲基-4-(二甲氨基)-3,5,10,12,12a-五羟基-1,11-二氧代-1,4,4a,5,5a,6,11,12a-八氢-2-并四苯甲酰胺盐酸盐 ;Doxycycline hydrochloride hemiethanolate hemihydrate
应用广谱抗生素,土霉素的衍生物。体内金属蛋白酶广谱抑制剂。
- 上一条:顺式-4,7,10,13,16,19-二十二碳六烯酸甲酯
- 下一条:左旋多巴
