产品中心
相关产品
生命科学标准品
|
产品编号 |
英文名称 |
CAS号 |
包装 |
|
Y0714 |
Erythromycin ethyl succinate |
1264-62-6 |
可根据客户要求订制 |
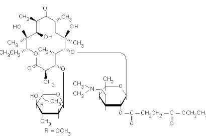
产品编号:Y0714
英文名称:Erythromycin ethyl succinate
CAS号 1264-62-6
分析标准品
分子式 C43H75NO16 分子量862.05
基本信息:
密度1.21
描述
别名琥乙红霉素 ;红霉素琥珀酸乙酯;
应用抗生素类药,主要用于青霉素耐药的葡萄球菌的感染。
- 上一条:顺式-5,8,11,14,17-二十碳五烯酸(EPA)
- 下一条:(-)-莽草酸
