产品中心
生命科学标准品
|
产品编号 |
英文名称 |
CAS号 |
包装 |
|
Y0727 |
Neomycin sulfate |
1405-10-3 |
可根据客户要求订制 |
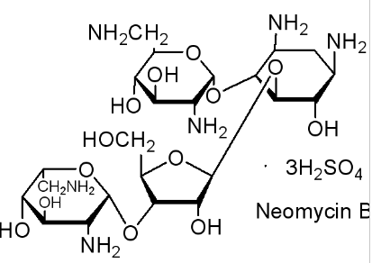
产品编号:Y0727
英文名称:Neomycin sulfate
CAS号 1405-10-3
分析标准品
分子式 C23H46N6O?3H2SO4?xH2O 分子量908.88
基本信息:
敏感性对光线和湿度敏感
存贮条件储存温度2-8℃
描述
产品介绍溶于水。 水中溶解度:500 g/L (20°C)
别名新霉素三硫酸盐水合物;硫酸新霉素水合物;Neomycin trisulfate salt hydrate
生化机理作用方式:与引起错编的 30S 和 50S(有时为 50S)亚基结合;抑制蛋白质合成的开始和延长。
抗菌谱:革兰氏阴性和革兰氏阳性细菌。
应用在没有影响神经元Na+/Ca2+ 反向转运蛋白(antiporter)的情况下阻断电压灵敏的Ca2+ 通道。
结合到核糖体30S 和 50S 亚单位引起蛋白错误编码;在蛋白合成起间抑制起始和延长。
抗菌谱: 革兰氏阴性和阳性细菌。
